Hướng dẫn tính toán và chọn kích thước đường ống thủy lực
2. Tính toán kích thước ống dẫn dầu thủy lực.
2.1. Kích thước đường ống hút.
2.3. Kích thước đường ống đẩy (ống nén).
1. Các yếu tố ảnh hưởng tới kích thước và loại ống dẫn dầu thủy lực.
Ống dẫn dầu dùng trong hệ thống điều khiển bằng thủy lực phổ biến là ống dẫn cứng (ống đồng và ống thép) và ống dẫn mềm (vải cao su có bọc lưới thép có thể làm việc ở nhiệt độ tới 135o C).
Dòng chảy là chuyển động của chất lỏng và được chia thành hai loại: lưu lượng dòng chảy và vận tốc dòng chảy. Lưu lượng dòng chảy là thể tích chất lỏng thủy lực được tạo ra bởi bơm thủy lực trong một khoảng thời gian cụ thể và thường được đo bằng cách sử dụng gallon trên phút hoặc GPM. Vận tốc dòng chảy là tốc độ mà chất lỏng thủy lực di chuyển theo một hướng nhất định trong một khoảng thời gian cụ thể và được đo bằng feet trên giây.
Lưu lượng dòng chảy được xác định bởi cả tốc độ dòng chảy của bơm thủy lực và kích thước ống thủy lực. Thay đổi lưu lượng dòng chảy của bơm thủy lực nhưng vẫn giữ nguyên kích thước ống thủy lực sẽ ảnh hưởng đến vận tốc dòng chảy. Ngược lại, giữ nguyên tốc độ dòng chảy nhưng thay đổi kích thước vòi sẽ ảnh hưởng đến vận tốc dòng chảy.
Lưu lượng dòng chảy là một yếu tố quan trọng cần cân nhắc khi thay thế ID ống thủy lực lớn hơn bằng ID ống thủy lực nhỏ hơn. Khi một ống thủy lực hiện tại được thay thế bằng một ống thủy lực mới có ID nhỏ hơn, thì cùng một lượng chất lỏng đã chảy qua ống thủy lực ban đầu, lớn hơn bây giờ bị ép qua ống mới, nhỏ hơn. Điều này sẽ hạn chế dòng chảy và tăng áp suất hạ lưu, do đó làm cho vận tốc dòng chảy tăng lên.
Trong một số tình huống, đây có thể không phải là vấn đề, vì vậy điều quan trọng là phải phân tích đúng tình huống. Một lựa chọn dễ dàng để tránh vấn đề này là tăng kích thước đến kích thước ống tiếp theo lớn hơn. Tuy nhiên, ống lớn hơn thường có giá cao hơn, cộng với ống lớn hơn sẽ chiếm không gian và thậm chí có thể làm giảm hiệu suất thiết bị của khách hàng.
Tại sao lưu lượng dòng chảy cao có thể không mong muốn đối với hệ thống thủy lực?
Vận tốc dòng chảy xác định xem dạng dòng chảy sẽ ở trạng thái tầng hay hỗn loạn. Lý tưởng nhất là chúng ta muốn dòng chảy ổn định, trơn tru và đồng nhất từ máy bơm đến thiết bị truyền động. Mô hình này được gọi là dòng chảy tầng. Dòng chảy thành lớp đạt được ở vận tốc thấp hơn và các lớp chất lỏng chuyển động theo một dạng dòng chảy song song, đẹp mắt.
Mô hình dòng chảy này là lý tưởng để giảm thiểu ma sát và giảm áp suất và tối đa hóa hiệu quả của hệ thống thủy lực. Ma sát giữa chất lỏng sẽ vẫn được tạo ra khi các lớp chất lỏng, đang chảy với tốc độ vận tốc khác nhau, trượt lên nhau, nhưng điều này được mong đợi. Mô hình dòng chảy tầng cũng cung cấp phản ứng hệ thống tốt hơn, bôi trơn và giảm các túi khí hoặc bong bóng có thể gây ra sự kém hiệu quả.
Vận tốc dòng chảy càng cao thì đặc tính dòng chảy càng rối. Khi vận tốc dòng chảy lớn, độ nhám trên bề mặt của ống bên trong sẽ phá vỡ đường dẫn dòng chảy và khiến nó trở nên hỗn loạn. Các dạng dòng chảy rối gây ra sự giảm năng lượng dưới dạng ma sát (định luật bảo toàn năng lượng), dẫn đến giảm áp suất không mong muốn và hệ thống thủy lực kém hiệu quả.
2. Tính toán kích thước ống dẫn dầu thủy lực.
Ống dẫn cần phải đảm bảo độ bền cơ học và tổn thất áp suất trong ống nhỏ nhất. Để giảm tổn thất áp suất, các ống dẫn càng ngắn càng tốt, ít bị uốn cong để tránh sự biến dạng của tiết diện và sự đổi hướng chuyển động của dòng dầu. Kích thước đường ống được xác định thông qua lưu lượng chảy qua ống và vận tốc chảy qua cho phép, tùy theo vị trí lắp ống và áp suất làm việc sẽ có các vận tốc giới hạn khác nhau. Cụ thể như sau:

Hình 1: Đường ống trong mạch thủy lực
Đường ống hút /// Đường ống đẩy / Đường ống xả //
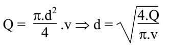
Công thức xác định đường kính ống

2.1. Kích thước đường ống hút.
vhút = 0,5 ÷ 1,5 (m/s). Trường hợp đặc biệt có thể lấy <= 3 (m/s)
Ví dụ: Lưu lượng bơm Q = 58,32 (l/ph); vhútMax = 3 (m/s) = 1800 (dm/ph).

=> Chọn : dhút = 20 (mm).
2.2. Kích thước đường ống xả.
Cũng như đường ống hút là đường có áp suất thấp nên vxả = 0,5 ÷ 1,5 (m/s). Trường hợp đặc biệt có thể lấy <= 3 (m/s).
Ví dụ: Lưu lượng ống xả Q = 58,32 (l/ph); vxảMax = 3 (m/s) = 1800 (dm/ph).

=> Chọn : dxả = 20 (mm).
2.3. Kích thước đường ống đẩy (ống nén).
Tùy theo áp suất làm việc sẽ có các yêu cầu khác nhau.
+ p < 50 Bar: Vận tốc giới hạn vđẩy 3 - 5 (m/s).
+ p = 50 ÷ 100 Bar: Vận tốc giới hạn vđẩy 5 - 6 (m/s).
+ p > 100 Bar: Vận tốc giới hạn vđẩy 6 - 7 (m/s)
Để giảm tổn thất thủy lực nên chọn đường càng lớn càng tốt (tuy nhiên tốn kém hơn). Trong thực tế mạch thủy lực có thể có nhiều đoạn rẽ nhánh nên lưu lượng khác nhau dẫn đến kích thước các ống cũng khác nhau, để thuận lợi nếu khối lượng ống không nhiều lắm nên quy về một loại ống.
Ví dụ: Lưu lượng ống đẩy Q = 24,4494 (l/ph); vđẩy = 3 - 5 (m/s) => Chọn vđẩyMax = 4 (m/s) = 2400 (dm/ph).

=> Chọn : dđ2 = 12 (mm).
Ngoài ra công ty Amech chuyên cung cấp vật tư thủy lực chính hãng với chất lượng phù hợp nhu cầu của khách hàng như: Bộ nguồn thủy lực (thiết kế theo yêu cầu hoặc bộ nguồn tiêu chuẩn, bộ nguồn mini); Xi lanh thủy lực (Loại tiêu chuẩn, loại thiết kế theo yêu cầu sử dụng); Van an toàn thủy lực; Van điều khiển thủy lực các loại; Bộ lọc dầu thủy lực; Đồng hồ đo áp suất; Rơ le áp suất thủy lực; Cảm biến áp suất… Với linh kiện xuất xứ EU, G7, Việt Nam…
Mọi thắc mắc và yêu cầu hỗ trợ có thể liên hệ trực tiếp tới số Hotline 09.3838.8583 (có Zalo) hoặc gửi mail sales.amech@gmail.com để được tư vấn.