KIẾN THỨC THỦY LỰC CƠ BẢN (P2- Quan hệ giữa các đại lượng thủy lực)
III. QUAN HỆ GIỮA CÁC ĐẠI LƯỢNG THỦY LỰC
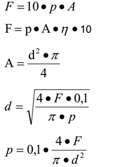
1. Đường kính piston – Áp suất – Lực đẩy.
|
Hình 1. Xi lanh thủy lực đẩy |
Công thức thủy lực |
|
|
|
Trong đó:
+ F = Lực đẩy do piston xi lanh tạo ra [N];
+ p = Áp suất dầu thủy lực [bar];
+ A = Diện tích bề mặt piston [cm2];
+ d = Đường kính quả piston [cm];
+ η = Tổn thất ở xi lanh thủy lực.
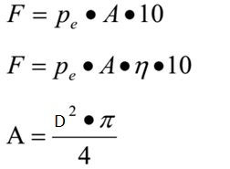
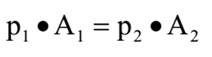
2. Xi lanh thủy lực – Lực đẩy hoặc kéo.
|
Hình 2. Xi lanh thủy lực |
Công thức thủy lực |
|
|
|
|
|
|
Trong đó:
+ F = Lực đẩy (hoặc kéo) do piston xi lanh tạo ra [N];
+ pe = Áp suất dầu thủy lực ở khoang piston xi lanh làm việc [bar];
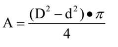
+ A = Diện tích bề mặt ở khoang piston xi lanh làm việc [cm2];
+ D = Đường kính quả piston [cm];
+ d = Đường kính cần xi lanh thủy lực [cm];
+ η = Tổn thất ở xi lanh thủy lực.
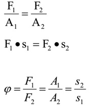
3. Kích thủy lực – Quan hệ áp suất và diện tích.
|
Hình 3. Nguyên lý kích thủy lực |
Công thức thủy lực |
|
|
|
Trong đó:
+ F1 = Lực đẩy tại bơm piston[N];
+ F2 = Lực đẩy tại đầu piston kích[N];
+ A1 = Diện tích bề mặt của bơm piston [cm2];
+ A2 = Diện tích bề mặt của piston kích [cm2];
+ s1 = Hành trình của bơm piston [cm];
+ s2 = Hành trình của piston kích [cm];
+ φ = Tỉ số đẩy.
4. Phương trình liên tục của dầu thủy lực.
|
Hình 4. Nguyên lý hoạt động |
Công thức thủy lực |
|
|
|
Trong đó:
+ Q1,2 = Lưu lượng của dòng chảy [cm3/s, dm3/s, m3/s];
+ A1,2 = Diện tích mặt cắt ngang [cm2, dm2, m2];
+ v1,2 = Vận tốc dòng chảy [cm/s, dm/s, m/s].
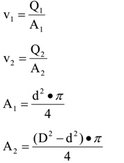
5. Vận tốc của piston xi lanh thủy lực.
|
Hình 5. Hình minh họa |
Công thức thủy lực |
|
|
|
Trong đó:
+ v1,2 = Vận tốc của piston xi lanh [cm/s];
+ Q1,2 = Lưu lượng dầu cấp vào [cm3/s];
+ A1 = Diện tích bề mặt làm việc đầu đẩy xi lanh thủy lực (vòng tròn) [cm2];
+ A2 = Diện tích bề mặt làm việc đầu kéo của xi lanh thủy lực (vành khăn) [cm2].
6. Bộ tăng áp thủy lực.
|
Hình 6. Hình minh họa |
Công thức thủy lực |
|
|
|
Trong đó:
+ p1 = Áp suất ở xi lanh nhỏ [bar];
+ A1 = Diện tích quả piston xi lanh nhỏ [cm2];
+ p2 = Áp suất ở xi lanh lớn [bar];
+ A2 = Diện tích bề mặt quả piston lớn [cm2].
Mọi yêu cầu thắc hoặc cần tư vấn hỗ trợ có thể liên hệ thực tiếp với chúng tôi Công ty Amech theo số điện thoại hoặc email cskh.amech@gmail.com.













