KIẾN THỨC THỦY LỰC CƠ BẢN (P3-Tính toán các phần tử chính trong hệ thống thủy lực)
IV. TÍNH TOÁN CÁC PHẦN TỬ CHÍNH TRONG HỆ THỐNG THỦY LỰC.
4.1. Bơm thủy lực.
|
Công thức thủy lực |
Trong đó |
|
|
+ Q = Lưu lượng bơm [l/min]; + V = Lưu lượng riêng của bơm [cm3]; + n = Tốc độ động cơ lai bơm [min-1]; + Pan = Công suất động cơ [kW]; + p = Áp suất hệ thống [bar]; + M = Mô men trên trục [Nm]; + ηges = Tổng tổn thất của bơm (0,8-0,85); + ηvol = Tổn thất thể tích (0,9-0,95); + ηmh = Tổng thất cơ khí – thủy lực (0,9-0,95). |
4.2. Mô tơ thủy lực.
|
Công thức thủy lực |
Trong đó |
|
|
+ Q = Lưu lượng vào mô tơ [l/min]; + V = Lưu lượng riêng của mô tơ [cm3]; + n = Tốc độ của trục mô tơ thủy lực [min-1]; + ηges = Tổng tổn thất của mô tơ (0,8-0,85); + ηvol = Tổn thất thể tích (0,9-0,95); + ηmh = Tổng thất cơ khí – thủy lực (0,9-0,95). + Pab = Công suất ra trên trục mô tơ [kW]; + Δp = Chênh lệch áp suất đầu vào và ra của mô tơ thủy lực [bar]; + Mab = Mô men trên trục của mô tơ thủy lực[Nm]; |
4.3. Bơm và Mô tơ thủy lực (có thể điều chỉnh được lưu lượng) trong mạch kín.
|
Công thức thủy lực |
Hình ảnh 4.3. Sơ đồ mô tơ mạch kín |
|
|
|
|
|
Trong đó
+ Md = Mô men [Nm];
+ P = Công suất [kW];
+ n = Tốc độ [min-1];
+ Mdmax = Mô men lớn nhất [Nm];
+ i = Tỉ số truyền;
+ ηGetr = Tổng hiệu suất bộ truyền;
+ ηmh = Hiệu suất cơ khí – thủy lực;
+ ηvol = Hiệu suất thể tích;
+ Vg = Lưu lượng riêng [cm3].
4.4. Bơm và Mô tơ thủy lực (không điều chỉnh được lưu lượng) trong mạch kín.
|
Công thức thủy lực |
Hình ảnh 4.4. Sơ đồ mô tơ mạch kín |
|
|
|
|
|
Trong đó
+ Md = Mô men [Nm];
+ P = Công suất [kW];
+ n = Tốc độ [min-1];
+ Mdmax = Mô men lớn nhất [Nm];
+ i = Tỉ số truyền;
+ ηGetr = Tổng hiệu suất;
+ ηmh = Hiệu suất cơ khí – thủy lực;
+ ηvol = Hiệu suất thể tích;
+ Vg = Lưu lượng riêng [cm3].
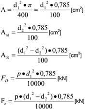
4.5. Xi lanh thủy lực.
|
Công thức thủy lực |
Hình ảnh 4.5. Chiều làm việc xi lanh thủy lực |
|
|
|
|
|
Trong đó
+ d1 = Đường kính piston [mm];
+ d2 = Đường kính cần piston [mm];
+ p = Áp suất làm việc của hệ thống [bar];
+ v = Vận tốc piston [m/s]
+ V = Lưu lượng đơn vị hành trình [l];
+ Q = Lưu lượng, có tính đến tổn thất rò rỉ (l/min);
+ Qth = Lưu lượng, bỏ qua tổn thất rò rỉ (l/min);
+ ηvol = Tổn thất lưu lượng (khoảng 0,95);
+ h = Hành trình [mm];
+ t = Thời gian đi hết hành trình h [s];
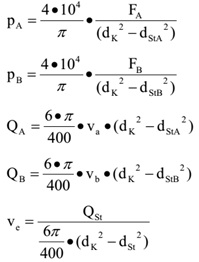
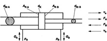
4.6. Xi lanh thủy lực hai đầu cần.
|
Công thức thủy lực |
Hình ảnh 4.5. Hình ảnh minh họa |
|
|
|
|
|
Trong đó
+ dK = Đường kính piston [mm];
+ dstA = Đường kính cần đầu A [mm];
+ dstB = Đường kính cần đầu B [mm];
+ FA = Lực đẩy A [kN];
+ FB = Lực đẩy B [kN];
+ pA = Áp suất khoang A [bar];
+ pB = Áp suất khoang B [bar];
+ QA = Lưu lượng khoang A [l/min];
+ QB = Lưu lượng khoang B [l/min];
+ va = Vận tốc a [m/s];
+ vb = Vận tốc b [m/s];
+ Volp = Chênh lệch thể tích hai khoang [l];
+ VolFA = Thể tích khoang A [l];
+ VolFB = Thể tích khoang B [l].
Mọi yêu cầu thắc hoặc cần tư vấn hỗ trợ có thể liên hệ thực tiếp với chúng tôi Công ty Amech theo số điện thoại hoặc email cskh.amech@gmail.com.













